UHT 技术知识点介绍系列三: 产品灭菌
发布时间:2025-07-24 浏览次数:613 来源:欧美大地


什么是 UHT? UHT (Ultra High Temperature) 是一种食品加工技术,主要用于牛奶等液态食品的灭菌处理。UHT 技术通过在 135-150℃ 的高温下对食品进行瞬时加热,持续几秒到十几秒不等,以达到商业无菌的标准。这种高温处理能够有效地杀死食品中的微生物,同时最大限度地保持食品的营养和风味。 在上一期中我们详细介绍了间接加热和直接加热相关知识点。在这一期的内容中,我们将详细介绍 UHT 产品灭菌原理和方法。 灭菌原理简介 2.1 灭菌 (Sterilization) 的定义 杀灭产品中所有微生物的过程 2.2 商业无菌 (Commercial sterility) * 产品处于无致病微生物; * 无微生物毒素; * 在正常的仓储、运输条件下,微生物不发生增殖的状态 绝对无菌在实际生产中是不可能的:并非所有的微生物在受到灭菌/消毒处理时都立即被杀死。 相反在一定的时间里仅有部分微生物被杀死,其余的则活了下来。
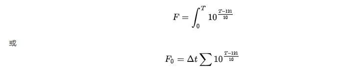
2.3 D 值 (Decimal reduction time) D 值的定义: 特定温度下,使微生物减少至原始菌数 1/10 时所需的保温时间。 D65= 1min 的含义是 65 ℃ 时,灭菌时间每延长一分钟,微生物数量减少为1D (减少90%)。延长两分钟微生物数量减少为 2D (减少 99%): 1D= 90% 减少= 1 个指数下降 2D= 99% 减少= 2 个指数下降 3D= 99.9% 减少= 3 个指数下降 4D= 99.99% 减少= 4 个指数下降 2.3 Z 值 Z 值的定义:Z 值是指使某一种微生物的 D 值下降一个对数单位时,灭菌温度应升高的度数, 其单位为 ℃ 。 Z 值越大,微生物对温度变化的敏感性越弱;Z 值的作用是转换计算不同温度下的杀灭微生物的效果; 如果某种微生物 Z 值为 10℃ ,并且 D65 = 50 秒, 这就意味着: D75 = 5 秒 也就是可以通俗的理解为:提高 1Z 值的杀菌温度的同时,将杀菌时间减少至原来的 1/10,对这种微生物的杀菌效果是没有变化的;反过来说,降低 1Z 值的杀菌温度,那就要将杀菌时间增加 10 倍才能得到等效的杀菌效果。 2.4 F 值 在基准温度中杀死一定数量对象微生物所需要热处理的时间(min),即该微生物的杀菌值。 F0 值的定义:在湿热灭菌中,参比温度规定为 121℃,以嗜热脂肪芽孢杆菌为生物指示剂的Z值为 10℃,即 F0 值为一定杀菌温度 T 下 Z 值为 10℃ 时所产生的灭菌效率与 121℃、Z 值为 10℃ 所产生的灭菌效率相同时所相当的时间Min。也就是说 F0 值是将各种灭菌温度的灭菌效果转换为 121℃ 灭菌的等效值。 F0 值的计算公式 对于热压灭菌法,参比温度定为 121℃,参比微生物选择嗜热脂肪芽胞杆菌,其 Z 值为 10℃,此时得到的 F 值称为 F0 值。用公式表示为: “T” 是产品灭菌的温度 “Δt” 温度 T 下测试的间隔时间 


D85 = 0.5 秒
D95 = 0.05 秒
UHT 灭菌能力计算 FDA 关于食品安全性的考虑均以肉毒杆菌芽孢为基础,对此菌达到 12D 的灭菌效果是一个必要条件。 肉毒杆菌芽孢的 F0 值为:F121.1℃ = 4 分钟, Z = 10℃ A.灭菌能力计算: 我们使用 F 值的计算公式来推导不同温度下的 F 值。该公式为: Fi=Fr×10((Tr-Ti)/Z) 其中,Fi 是在温度 Ti 下的 F 值,Fr 是参考温度 Tr 下的 F 值,Z 是温度偏差因子即目标微生物 Z 值。 将 135℃ 作为目标温度,并利用已知的 121.1℃ 下的 F 值和 Z 值,我们可以计算出: F135 ℃=F121.1×10((121.1-135)/10) 这表明在 135℃ 的温度下,杀菌所需的时间为 9.8 秒。 B.不同温度下 F 值为: C. 灭菌条件与 F 值对比(举例): 假设某产品在特定杀菌条件下,如 135℃ 持续 30 秒和 138℃ 持续 16 秒,我们将其与之前计算的 135℃ 时的 9.8 秒和 138℃ 时的 4.9 秒进行对比。通过这种对比,我们可以评估该产品的杀菌条件是否达到了预期的效果。 君乐宝悦鲜活采用 INF 0.09 秒超瞬时杀菌技术灭菌,其本质为蒸汽浸入式UHT 系统,通过控制灭菌时间到 0.09S 从而实现超高温超瞬时灭菌。那么结合上面的计算公式,当灭菌温度达到 155.4℃ 时,灭菌所需要的时间为0.089S,理论上确实可以实现。 英国 Armfield 小型 UHT 系统解决方案 基于 UHT 杀菌技术和电子技术的发展,30 年来英国 Armfield 公司为全球客户提供了数百套小型 UHT 系统,为客户新产品开发与测试提供了稳定的实验平台,使研究人员和产品开发人员能够在实验室中以微型规模复制全尺寸的工业制造过程,并提供可靠的和可重复的实验数据。 Armfield UHT 系统采用模块化设计,极具灵活性。可以根据用户的产品特性和工艺要求,提供定制化的系统方案,包括管式换热器, 板式换热器,刮板式换热器,DSI 蒸汽直接加热等多种组合,广泛应用于饮料,乳品,食品配料,功能食品,特医食品等行业。 FT74XA 小型 HTST/UHT 系统 FT174XA 小型模块化 HTST/UHT 系统
=4×10((121.1-135)/10)
=0.163 分钟
=9.8 秒


更多关于Armfield 小型 UHT 系统的信息,请咨询欧美大地!


